Shareholders Meeting
2020 AGM
2020-06-24
The 2020 Annual Shareholders' Meeting of WPG Holdings Limited will be convened at 9:00a.m., Mon., June 24, 2020 at B1, 76, Chenggong Road., Nangang District., Taipei City, Taiwan.
Shareholders executing voting rights through e-voting:Shareholders may exercise their voting rights through the STOCKVOTE platform of Taiwan Securities Central Depository Co., Ltd. (http://www.stockvote.com.tw) during the period from May 25, 2020 to June 21, 2020.
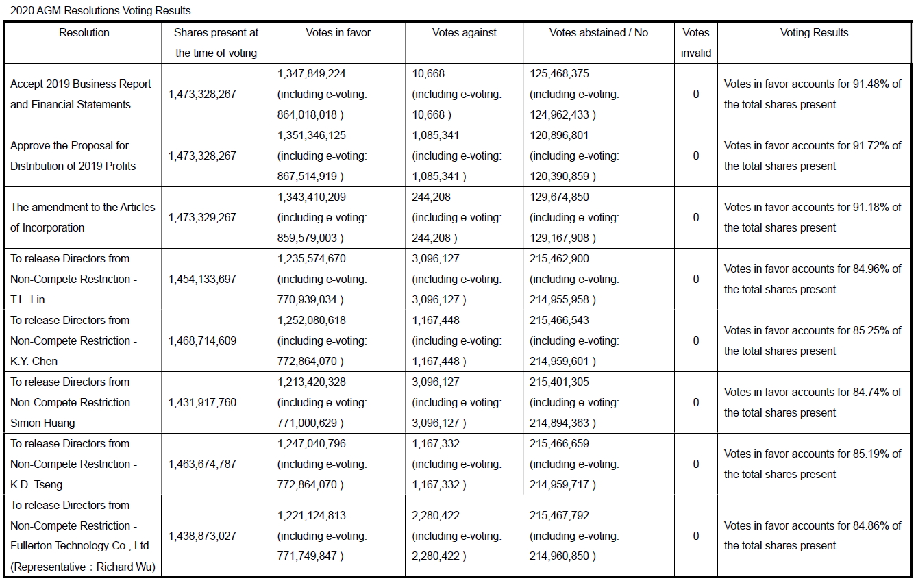
Shareholders voting result through e-voting🏋️:The Shareholders present in person or by proxy collectively held 1,473,782,975 shares ( including 988,991,119 shares voted through e-voting ), representing 87.77% of the total 1,679,056,833 issued and outstanding Shares.
Directors present: Simon Huang、K.D. Tseng🪑、Mike Chang、T.L. Lin、K.Y. Chen、Frank Yeh、Fullerton Technology Co. (Representative😀:Richard Wu)、Rong-Ruey Duh、Jack J. T. Huang、Yung– Hong Yu.
Voting results: Voting on each separate proposal in the shareholders meeting agenda,the following are resolutions voting results:
Major Shareholders